潍坊考试信息网

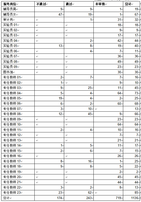
2025年潍坊科技学院公开招聘人员报名情况(截至2025年2月27日17:00)

[ 更新时间:2025/2/28 16:11:55 ] [ 点击次数: 次] [ 打印本页 ]

2025年潍坊科技学院公开招聘人员报名情况(截至2025年2月27日17:00)


原标题:2025年潍坊科技学院公开招聘人员报名情况(截至2025年2月27日17:00)

文章来源:http://wkwsbk.wfust.edu.cn/mobile/FrontNews/getNewsById?news_id=205


您是本站第 位访客
潍坊考试信息网 版权所有
网站备案号: 鲁ICP备2022013033号