潍坊考试信息网

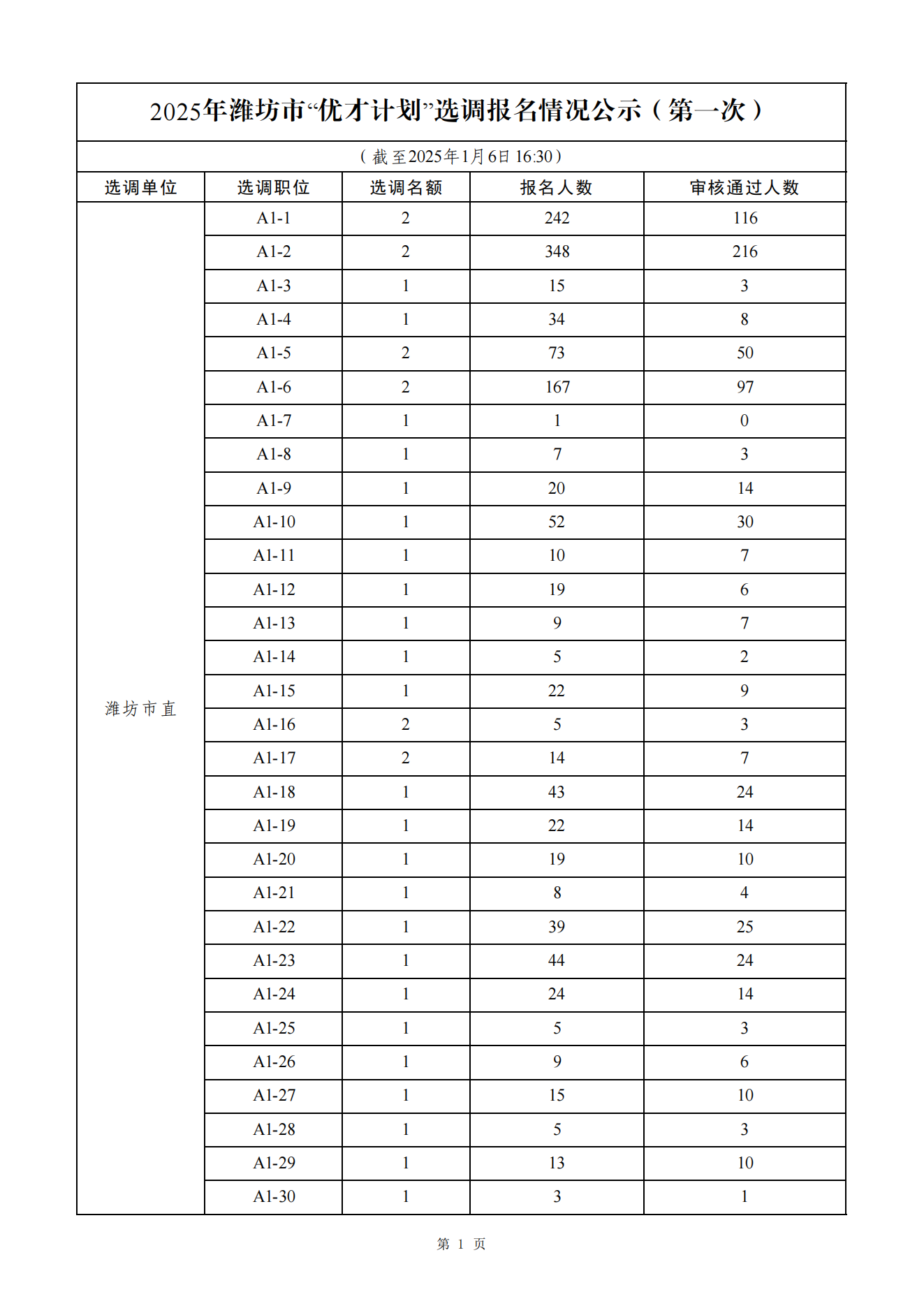
2025年潍坊市“优才计划”选调报名情况公示 (第一次)

[ 更新时间:2025/1/7 16:08:18 ] [ 点击次数: 次] [ 打印本页 ]

2025年潍坊市“优才计划”选调报名情况公示 (第一次)

原标题:2025年潍坊市“优才计划”选调报名情况公示 (第一次)

文章来源:http://www.wfzzb.cn/2021xd/show-19997.html


您是本站第 位访客
潍坊考试信息网 版权所有
网站备案号: 鲁ICP备2022013033号